Tales from the Hitching Post (1 Viewer)

Sweet I got #20 and #19 points!
Think Chris was right after Kenny. I was right before Kenny when my 6 blind shove JJ vs AA did not crack
 
Here are the standings for the IDPL fantasy league

1. Team @kirchhausen : 147.92
2. Team @krafticus : 139.2
3. Team @Chippy McChiperson : 133.79
4. Team @Anthony Martino : 99.04
5. Team @bivey : 96.03
6. Team @ChaosRock : 88.83

3D58782B-F964-4457-BD74-7B7D1E3B2B34.jpeg
 
Here are the IDPL tournament 4 results:

1. Al
2. Josh
3. Ken Carlson
4. Mike
5. Dan
6. Ted
7. Dawn
8. Max
9. Tommy
10. John Armstrong
11. Jason Mcauliffe
12. Jamie
13. Rob
14. Jack
15. Jason Bacigalupo
16. Don
17. Wolf
18. Robin
19. Chris
20. Paul
21. Jim
22. Tom
23. Tim Baker
24. Doug
25. Tim Hill
26. Jeff
27. Dave Neyer

DNP
Peter, Dave Cardwell, Ken Day

Fantasy standings:

1. Team @krafticus : 204.27
2. Team @Chippy McChiperson : 179.54
3. Team @kirchhausen : 161.41
4. Team @Anthony Martino : 150.85
5. Team @ChaosRock : 119.59
6. Team @bivey : 115.04

E6B82F7D-89BE-4AEB-95B7-C986FD6BEA93.jpeg
 
Here are the tournament five results:

1. Al Scott
2. Jamie Bolton
3. Tim Hill
4. Max Taylor
5. @BiGGyT
6. Tommy Zavieh
7. Rob Heitner
8. John Armstrong
9. @Supahnit
10. Jason Mcauliffe
11. @DNeyer
12. Ted Rykoski
13. Don Hilhouse
14. @Mr Tree
15. Paul Marek
16. @flipupchipup
17. Mike Mjehovich
18. Jbutler
19. Robin Schorr
20. Dan Lee
21. Wolf Reimann
22. @Gobbs
23. Dawn Cleaver
24. Ken Day
25. @BGinGA

DNP - Hot Dog King, Jason Bacigalupo, @shleepytime , Jeff Metersky, Jim Murray

The IDPL fantasy standings are as follows:

Team @krafticus : 217.74
Team @Chippy McChiperson : 177.49
Team @Anthony Martino : 162.49
Team @kirchhausen : 157.07
Team @bivey : 143.63
Team @ChaosRock : 132.42

29CE9C89-383A-455C-BE15-386DBD191BFD.jpeg
 
Tom, thanks for doing this. Was wondering, is your spreadsheet accurate? @BGinGA went out first, and his points went up from 29.24 to 29.27. I had 2 players who dropped points after finishing 10th and 17th. Just want to make sure you're aware if there's a problem.
 
Tom, thanks for doing this. Was wondering, is your spreadsheet accurate? @BGinGA went out first, and his points went up from 29.24 to 29.27. I had 2 players who dropped points after finishing 10th and 17th. Just want to make sure you're aware if there's a problem.
The drops are factoring in now. After week 5 I drop the two lowest scores for each player.
 
Here are the IDPL tournament 7 results;


1. @shleepytime
2. Dawn
3. Al
4. Jason Bacigalupo
5. Tim Hill
6. Jbutler
7. Dan
8. Rob
9. Ted
10. Jamie
11. Don
12. HDK
13. Max
14. Jeff
15. Tommy
16. Mike
17. Wolf
18. @Supahnit
19. Paul
20. @Gobbs
21. John
22. Ken Day
23. @Mr Tree
24. @BGinGA


DNP

Robin, @DNeyer, Jim, Jason McAuliffe, @BiGGyT , @flipupchipup

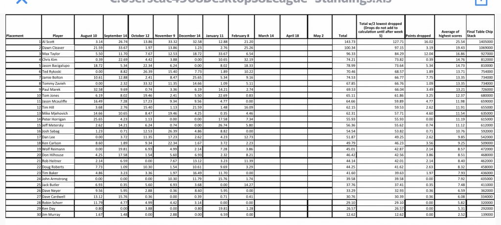
current standings

4967EF42-FBB0-493D-B614-3AE459852950.jpeg


IDPL fantasy standings

1. @krafticus - 329.73
2. @kirchhausen - 269.43
3. @Anthony Martino - 240.71
4. @Chippy McChiperson - 226.92
5. @bivey - 208.75
6. @ChaosRock - 185.7

CDA93F5C-0924-4B89-A4C6-5C353AFDB6D7.jpeg
 
Here are the IDPL tournament 7 results;


1. @shleepytime
2. Dawn
3. Al
4. Jason Bacigalupo
5. Tim Hill
6. Jbutler
7. Dan
8. Rob
9. Ted
10. Jamie
11. Don
12. HDK
13. Max
14. Jeff
15. Tommy
16. Mike
17. Wolf
18. @Supahnit
19. Paul
20. @Gobbs
21. John
22. Ken Day
23. @Mr Tree
24. @BGinGA


DNP

Robin, @DNeyer, Jim, Jason McAuliffe, @BiGGyT , @flipupchipup

current standings

View attachment 405507

IDPL fantasy standings

1. @krafticus - 329.73
2. @kirchhausen - 269.43
3. @Anthony Martino - 240.71
4. @Chippy McChiperson - 226.92
5. @bivey - 208.75
6. @ChaosRock - 185.7

View attachment 405506

 
Small world...I was out in Atlanta on a work trip back in August and ended up on the other side of the table from DNeyer...guy says he likes to play a little cards ;)

Might have to bring a guest set for a weeknight game next time I'm out that way....
 
Small world...I was out in Atlanta on a work trip back in August and ended up on the other side of the table from DNeyer...guy says he likes to play a little cards ;)

Might have to bring a guest set for a weeknight game next time I'm out that way....
Dave is a good guy!
 

Create an account or login to comment

You must be a member in order to leave a comment

Create account

Create an account and join our community. It's easy!

Log in

Already have an account? Log in here.

Back
Top Bottom
Cart